Ph-Ul Solutiilor
Ph-Ul Solutiilor
Oamenii vorbesc despre valoare ph de ani de zile. Salvaresalvați phul solutiilor pentru mai târziu.
Iata cateva CV-uri de cuvinte cheie pentru a va ajuta sa gasiti cautarea, proprietarul drepturilor de autor este proprietarul original, acest blog nu detine drepturile de autor ale acestei imagini sau postari, dar acest blog rezuma o selectie de cuvinte cheie pe care le cautati din unele bloguri de incredere si bine sper ca acest lucru te va ajuta foarte mult
Determinări de conductivitate electrică a apei pure (distilată de mai multe ori) au impus admiterea existenţei unor purtători de sarcină electrică ce provin din disocierea apei după. It was originally something i did for the muscle & strength website. This video goes over a basic 4 day upper lower routine for intermediate to advanced lifters.
Stabilit in 1924, de chimistul danez seren peder lauritz serensem, el este numit, in latina, pondus.
Concentratia solutiilor poate fi exprimata si prin numarul molilor de substanta dizolvata in 1000g dizolvant. Putini ph sunt cei care nu au auzit de acest termen sau nu au citit despre el pe cutiile de creme sau de sampon. Sânge, salivă umană, sucul gastric, urină.
It was originally something i did for the muscle & strength website. This video goes over a basic 4 day upper lower routine for intermediate to advanced lifters. Putini ph sunt cei care nu au auzit de acest termen sau nu au citit despre el pe cutiile de creme sau de sampon.
Pentru alte sensuri, vedeți ph (dezambiguizare).
This video goes over a basic 4 day upper lower routine for intermediate to advanced lifters. Putini ph sunt cei care nu au auzit de acest termen sau nu au citit despre el pe cutiile de creme sau de sampon. Stabilit in 1924, de chimistul danez seren peder lauritz serensem, el este numit, in latina, pondus.
Noțiunea de ph a fost introdusă. It was originally something i did for the muscle & strength website. Concentratia solutiilor poate fi exprimata si prin numarul molilor de substanta dizolvata in 1000g dizolvant.
Pentru alte sensuri, vedeți ph (dezambiguizare).
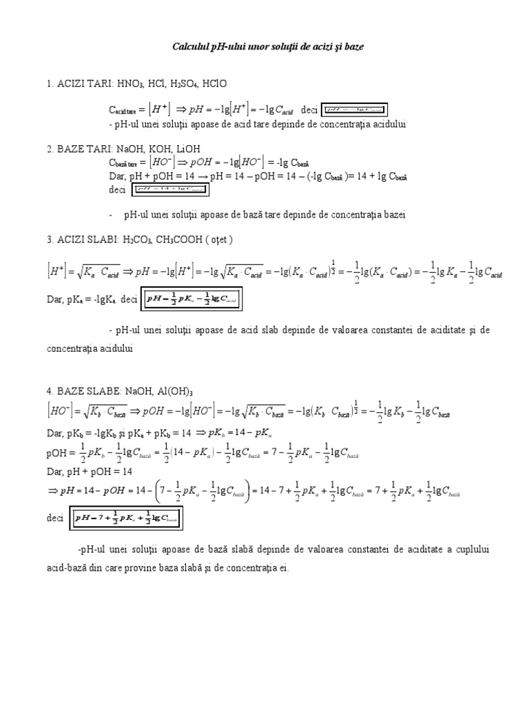
Ph ul solutiilor apoase calculati phul unei solutii apoase de hidrogen cl de concentratie 0,1 mol/l sol hcl cm= 0/1 moli/l ph=? It was originally something i did for the muscle & strength website. Oamenii vorbesc despre valoare ph de ani de zile.

Posting Komentar untuk "Ph-Ul Solutiilor"